是否切换到触屏版浏览?
点此切换
品名
简介
全部
热:
BTU
7寸
40MHz
iCharger
硅胶线
聚合物锂电池
充电器
2216
50cc
FRSKY
800KV
26cc
模型视频
说明书
文章教程
大疆无人机
FPV/OSD/图传/航拍
多旋翼/穿越机
遥控模型
遥控设备
电子外设
发动机/燃油
工具/配件/其他
无人机、多旋翼、大疆 DJI、云台、电动、油动直升机、直升机配件及辅助设备。
首页
多旋翼/穿越机
多旋翼(2-8旋翼等飞行器)
多旋翼专用马达
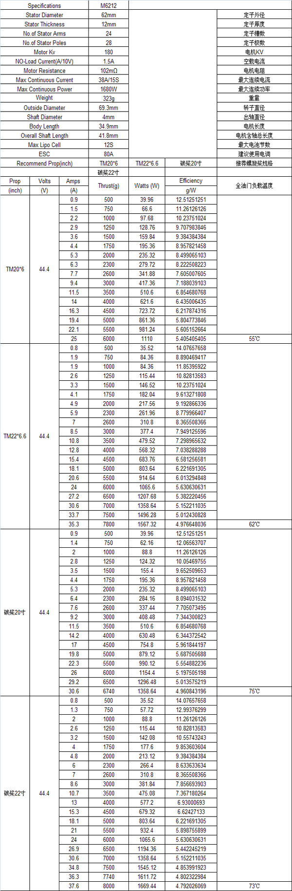
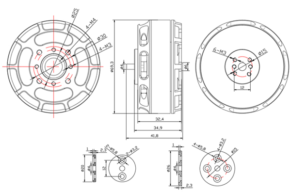
产品编号: M6212-18
产品品牌:
朗宇
客户评论:
查看评论.
上架日期:
2016-09-12
最后更新:
2019-08-13
可打印页面
添加到收藏夹
关键词:
SUNNYSKY
朗宇
M6212
180kv
盘式电机
植保机马达
SUNNYSKY 朗宇 M6212 180kv 盘式电机 植保机马达
特 征:
技术参数:
附 件:
包含:
1 xM6212-180kv
1 x螺丝包
客户评论:
内容描述:
此处评论/问题为客户间交流.
发布为:
评论
问题
推荐星级:
5星
4星
3星
2星
1星